
We've tallied your opinions from our gem treatment survey. Are treated gems natural? How much should they cost? With a wide variety of attitudes toward gem treatments, what can we do to educate the public and to encourage treatment disclosure?
5 Minute Read

This survey addressed twelve types of gem treatments. For each treatment, respondents read a brief description of the treatment prior to answering questions. There were three questions for each treatment:
In addition, a comment box was provided for each gem treatment.
We asked who people were in relation to the gem trade, allowing for people to choose multiple categories. The chart below shows the results. Of the 342 respondents, 149 identified as gem hobbyists, the largest group. Forty respondents chose "Other," including online retailers, wholesale dealers, and students learning more about gems.

For certain insights in this article, respondents were grouped into people "in the trade," anyone who chose Gemologist, Jeweler, Lapidary, Miner, and certain "Other" responses (198 total), and those who are primarily on the buying end of the trade (144).
While most respondents consider low temperature heat treated gems natural (72%), many respondents consider gems with other treatments no longer natural. High temperature heat treatment and laser drilling clarity treatment were both considered to result in natural gems by more than half of respondents. A vast majority of respondents (97%) consider reconstituted gems unnatural.

Separating results by whether the respondent is in the trade or not yields an interesting result. While respondents who are primarily consumers, hobbyists, and collectors make up 42% of respondents, they make up only 35-42% of those who consider a gem natural. (Note: this excludes Coatings, Type B Jadeite, and Reconstituted Gems because few (<50) respondents consider these gems to be natural). This shows that gem buyers are more likely to consider treated gems to be unnatural than those within the trade, but by a relatively small amount. However, this result may be skewed. Since the survey respondents are IGS members, they likely have more education on gem treatments than the average consumer.
Surprisingly, whether a respondent believed that a treated gem was natural or not didn't correlate directly with appropriate uses for the gem. Although laser-drilled diamonds were considered to be natural by a similar number of people as high-temperature corundum treatments, fewer respondents believed that they would be appropriate for a museum collection. Gem collections elicited a similar response.
These charts show a count of responses for each treatment, separated by whether the respondent considers the gem natural (green) or not (blue). Note the changing scale on the x-axis.
Gem variety also affected these results. For example, more respondents considered impregnated or stabilized turquoise natural than lattice diffused gems. However, the lattice diffused gems, which include sapphire and sunstone, were considered more appropriate for fine jewelry. Similarly, fewer respondents consider HPHT diamonds to be appropriate for inexpensive jewelry.
One respondent noted that any treated gem could be part of a museum collection to demonstrate gem treatments and their effects. Although most museums don't do this, it would be an excellent way to educate the public about gem treatments.
The biggest question in gem treatments is how much a treated gem should cost.
Clearly, based on the wide spread of values, most people don't know how gem treatments alter cost. For every treatment, responses varied from $100 (same price as an untreated gem of the same quality) to $1 (1% of the price of an untreated gem of the same quality).

Opinions on whether the treated gem remains natural had a large impact on perceived value. For certain treatments, those who believe that treated gems are natural (green) gave median prices above the upper quartile of those who view treated gems as unnatural (blue).
Surprisingly, separating results by those who make their living in the gem trade (green) and those who are primarily on the buying side of the gem trade (blue) shows little difference.

Many respondents provided informative and insightful comments that helped improve our understanding of the gem treatment survey results.
A recurring theme is the need for disclosure of gem treatments to customers. Some commenters note, for example, that it's impossible to tell whether certain stones have undergone heat treatment at low temperatures. Others mention that treatments are infrequently disclosed, especially in inexpensive jewelry. One gemologist commented that when they disclose treatments, customers are usually uninterested and indifferent.

Some respondents remarked that the treatment categories in the survey are too broad. For example, bleached pearls are much more widely accepted than dyed agate and would be priced differently. Similarly, oiled emeralds have less of a reduction in price than rubies with leaded glass (grouped under "Clarity Fillings" in this survey). A few commented that the price point would also vary with gem species and size. The difference in price between treated and untreated 1-ct ruby would be smaller than for a 10-ct gem.
Some respondents separated "natural" and "not natural" stones by whether the treatment "adds" something to the stone. Additive treatments include fillings for clarity, dyes, polymers for stabilization or reconstitution, and coatings. A few comments noted that these could be called "hybrids." In other words, nature has produced a stone, and people have added to it to improve its appearance or durability.
Longevity is a concern for certain gem treatments. Dyed or irradiated gems whose color may fade and coatings which can wear off were viewed as less valuable.

A few comments suggested that the survey should have included assembled stones (doublets and triplets). One mentioned that the survey could also ask about synthetic stones.
Opinions on gem treatments vary widely. Some respondents believe that any alteration makes a stone "unnatural." A few even claim they wouldn't knowingly purchase any treated stone. Others say that anything that miners have pulled from the earth is natural, regardless of how humans have altered it. Yet another group suggests that enhanced stones occupy a realm between natural and unnatural that should have its own category. Others say that there is indeed a line between natural and not, but identifying where the line should be is quite a difficult task. Still other respondents seek out gems for aesthetic reasons and are happy as long as there's full disclosure.

Certainly, the gem trade has a problem with disclosure. Many respondents noted that the problem is especially pervasive in the inexpensive jewelry market, where even sellers are often uninformed. However, when dealers disclose treatments, customers are often indifferent.
Adding treated gems to museum collections would be an excellent way to educate the public about gem treatments. Here at IGS, we can use our articles to promote a better understanding of gem treatments, including how common they are and how they affect pricing.









When you join the IGS community, you get trusted diamond & gemstone information when you need it.


This survey addressed twelve types of gem treatments. For each treatment, respondents read a brief description of the treatment prior to answering questions. There were three questions for each treatment:
In addition, a comment box was provided for each gem treatment.
We asked who people were in relation to the gem trade, allowing for people to choose multiple categories. The chart below shows the results. Of the 342 respondents, 149 identified as gem hobbyists, the largest group. Forty respondents chose "Other," including online retailers, wholesale dealers, and students learning more about gems.

For certain insights in this article, respondents were grouped into people "in the trade," anyone who chose Gemologist, Jeweler, Lapidary, Miner, and certain "Other" responses (198 total), and those who are primarily on the buying end of the trade (144).
While most respondents consider low temperature heat treated gems natural (72%), many respondents consider gems with other treatments no longer natural. High temperature heat treatment and laser drilling clarity treatment were both considered to result in natural gems by more than half of respondents. A vast majority of respondents (97%) consider reconstituted gems unnatural.

Separating results by whether the respondent is in the trade or not yields an interesting result. While respondents who are primarily consumers, hobbyists, and collectors make up 42% of respondents, they make up only 35-42% of those who consider a gem natural. (Note: this excludes Coatings, Type B Jadeite, and Reconstituted Gems because few (<50) respondents consider these gems to be natural). This shows that gem buyers are more likely to consider treated gems to be unnatural than those within the trade, but by a relatively small amount. However, this result may be skewed. Since the survey respondents are IGS members, they likely have more education on gem treatments than the average consumer.
Surprisingly, whether a respondent believed that a treated gem was natural or not didn't correlate directly with appropriate uses for the gem. Although laser-drilled diamonds were considered to be natural by a similar number of people as high-temperature corundum treatments, fewer respondents believed that they would be appropriate for a museum collection. Gem collections elicited a similar response.
These charts show a count of responses for each treatment, separated by whether the respondent considers the gem natural (green) or not (blue). Note the changing scale on the x-axis.
Gem variety also affected these results. For example, more respondents considered impregnated or stabilized turquoise natural than lattice diffused gems. However, the lattice diffused gems, which include sapphire and sunstone, were considered more appropriate for fine jewelry. Similarly, fewer respondents consider HPHT diamonds to be appropriate for inexpensive jewelry.
One respondent noted that any treated gem could be part of a museum collection to demonstrate gem treatments and their effects. Although most museums don't do this, it would be an excellent way to educate the public about gem treatments.
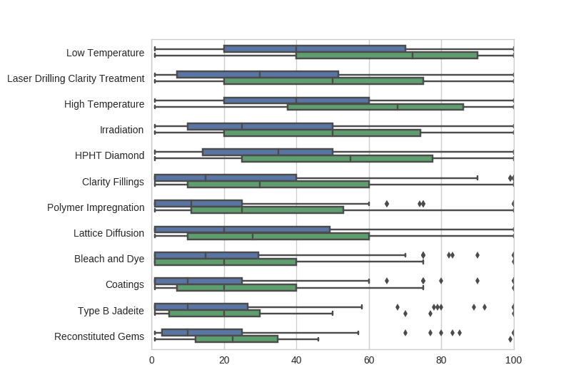
The biggest question in gem treatments is how much a treated gem should cost.
Clearly, based on the wide spread of values, most people don't know how gem treatments alter cost. For every treatment, responses varied from $100 (same price as an untreated gem of the same quality) to $1 (1% of the price of an untreated gem of the same quality).

Opinions on whether the treated gem remains natural had a large impact on perceived value. For certain treatments, those who believe that treated gems are natural (green) gave median prices above the upper quartile of those who view treated gems as unnatural (blue).
Surprisingly, separating results by those who make their living in the gem trade (green) and those who are primarily on the buying side of the gem trade (blue) shows little difference.

Many respondents provided informative and insightful comments that helped improve our understanding of the gem treatment survey results.
A recurring theme is the need for disclosure of gem treatments to customers. Some commenters note, for example, that it's impossible to tell whether certain stones have undergone heat treatment at low temperatures. Others mention that treatments are infrequently disclosed, especially in inexpensive jewelry. One gemologist commented that when they disclose treatments, customers are usually uninterested and indifferent.

Some respondents remarked that the treatment categories in the survey are too broad. For example, bleached pearls are much more widely accepted than dyed agate and would be priced differently. Similarly, oiled emeralds have less of a reduction in price than rubies with leaded glass (grouped under "Clarity Fillings" in this survey). A few commented that the price point would also vary with gem species and size. The difference in price between treated and untreated 1-ct ruby would be smaller than for a 10-ct gem.
Some respondents separated "natural" and "not natural" stones by whether the treatment "adds" something to the stone. Additive treatments include fillings for clarity, dyes, polymers for stabilization or reconstitution, and coatings. A few comments noted that these could be called "hybrids." In other words, nature has produced a stone, and people have added to it to improve its appearance or durability.
Longevity is a concern for certain gem treatments. Dyed or irradiated gems whose color may fade and coatings which can wear off were viewed as less valuable.

A few comments suggested that the survey should have included assembled stones (doublets and triplets). One mentioned that the survey could also ask about synthetic stones.
Opinions on gem treatments vary widely. Some respondents believe that any alteration makes a stone "unnatural." A few even claim they wouldn't knowingly purchase any treated stone. Others say that anything that miners have pulled from the earth is natural, regardless of how humans have altered it. Yet another group suggests that enhanced stones occupy a realm between natural and unnatural that should have its own category. Others say that there is indeed a line between natural and not, but identifying where the line should be is quite a difficult task. Still other respondents seek out gems for aesthetic reasons and are happy as long as there's full disclosure.

Certainly, the gem trade has a problem with disclosure. Many respondents noted that the problem is especially pervasive in the inexpensive jewelry market, where even sellers are often uninformed. However, when dealers disclose treatments, customers are often indifferent.
Adding treated gems to museum collections would be an excellent way to educate the public about gem treatments. Here at IGS, we can use our articles to promote a better understanding of gem treatments, including how common they are and how they affect pricing.